Ответы
Ответ дал:
0
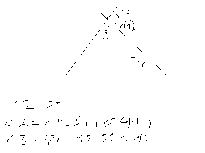
Разберёмся, <2=55, <1=40. Обозначим ещё 1 угол, назовем его <4(Снизу рисунок прикреплю)
<2=<4(Накрест лежащие) <4=55.
<3=180-<4-<1=180-55-40=85
<3=85
Объясню, угол 3, 4 и 1 - это развернутый угол, в сумма которого равна 180.
Мы выразили угол 3.
ОТВЕТ: 85
<2=<4(Накрест лежащие) <4=55.
<3=180-<4-<1=180-55-40=85
<3=85
Объясню, угол 3, 4 и 1 - это развернутый угол, в сумма которого равна 180.
Мы выразили угол 3.
ОТВЕТ: 85
Приложения:
Вас заинтересует
3 года назад
8 лет назад
11 лет назад
11 лет назад