• Предмет: Математика
  • Автор: BEST5588
  • Вопрос задан 3 года назад

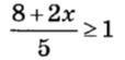
Решите неравенство ПОМОГИТЕ

Приложения:

Аноним: ПИПИКА ТЫ ОПЯТЬ

Ответы

Ответ дал: cutefoxkelvin
2

Ответ:

решил, ответ на фото, удачки

Приложения:

Аноним: СПАСИИИИИИИИИ
Вас заинтересует