Пожалуйста, помогите.
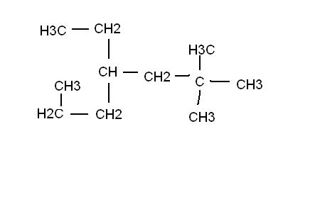
Структурные формулы скольких веществ изображено? И назовите эти вещества по номенклатуре ИЮПАК.
Приложения:
Ответы
Ответ дал:
0
1) 2-метил, 4-этилгексан
2) 2,2-диметил, 4-этилгептан
3) Опять 2-метил, 4-этилгексан
4) 2-метил, 4-этилгексан
2) 2,2-диметил, 4-этилгептан
3) Опять 2-метил, 4-этилгексан
4) 2-метил, 4-этилгексан
Вас заинтересует
3 года назад
3 года назад
8 лет назад
8 лет назад
11 лет назад
11 лет назад
11 лет назад