• Предмет: Алгебра
  • Автор: Аноним
  • Вопрос задан 3 года назад

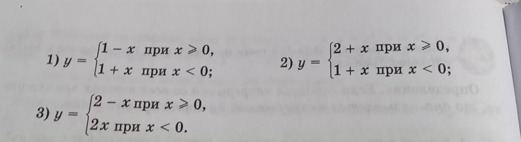
Постройте график функции y=f(x).Выясните является ли функция непрерывной в точке x0=0​

Приложения:

NNNLLL54: написано 1-4 классы ? как объяснять ? с точки зрения 1-4 класса ?

Ответы

Ответ дал: misniksemen
14

Объяснение:

кабачёк1111111

Приложения:

zoompol3: А есть 3 и2
zoompol3: Ответ на 2 и 3?
Вас заинтересует