• Предмет: Математика
  • Автор: dratutiiii5
  • Вопрос задан 3 года назад

ПОЖАЛУЙСТА ПОМОГИТЕ МАТЕМАТИКА ШЕСТОЙ КЛАСС ОАОАОААОАОАООАОА

Приложения:

Ответы

Ответ дал: ildar502020
1

Ответ: -5.

Пошаговое объяснение:

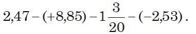
2,47-(+8,85)-11/20 - (-2,53)=

1)  2,47+(-8,85) = - 8,85 - 2,47 = - 6,38;

2) -6,38 - 1  3/20 = -(6,38 + 1,15) = - 7,53;

3)  - 7,53 - (-2,53) = -7,53 + 2,53 = -(7,53 - 2,53)= -5

Вас заинтересует