• Предмет: Математика
  • Автор: badoj47614
  • Вопрос задан 3 года назад

Помогите с задачами. развернуто пожалуйста!)

Приложения:

Ответы

Ответ дал: Miroslava227
3

Ответ:

834

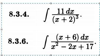
\int\limits \frac{11dx}{ {(x + 2)}^{3} }  = 11\int\limits \frac{d(x + 2)}{ {(x + 2)}^{3} }  =  \\  = 11 \times  \frac{ {(x + 2)}^{ - 2} }{( - 2)}  + C=  -  \frac{11}{2 {(x + 2)}^{2} }  + C

836

\int\limits \frac{(x + 6)dx}{ {x}^{2}  - 2x + 17}  \\

делаем в числителе производную знаменателя:

(x^2-2x+17)' = 2x-2

 \frac{1}{2} \int\limits \frac{2x + 12}{ {x}^{2} - 2x + 17 } dx =  \frac{1}{2} \int\limits \frac{2x - 2 + 14}{ {x}^{2} - 2x + 17 } dx =  \\  =  \frac{1}{2} \int\limits \frac{2x - 2}{ {x}^{2}  - 2x + 17} dx + \frac{1}{2}  \int\limits \frac{14dx}{ {x}^{2}  - 2x + 17}  =  \\  =  \frac{1}{2} \int\limits \frac{d( {x}^{2} - 2x + 17) }{ {x}^{2}  - 2x + 17}  + 7\int\limits \frac{dx}{ {x}^{2}  - 2x + 1 + 16}  =  \\  =  \frac{1}{2}  ln( {x}^{2}   - 2x + 17)  + 7\int\limits \frac{d(x - 1)}{ {(x - 1)}^{2} +  {4}^{2}  }  =  \\  =  \frac{1}{2}  ln( {x}^{2}  - 2x + 17)  +  \frac{7}{4} arctg( \frac{x - 1}{4} ) + C

Вас заинтересует