• Предмет: Математика
  • Автор: sasham4
  • Вопрос задан 3 года назад

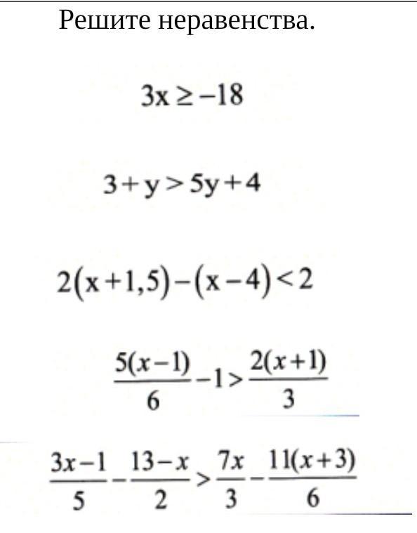
помогите решить пожалуйста

Приложения:

Ответы

Ответ дал: lesenkom496
1

Ответ:

Приложения єслі цікавить фотоматч

Пошаговое объяснение:

Приложения:
Ответ дал: serovaksusa1
1

Ответ:

Смотри решение на фото

Приложения:

serovaksusa1: Если что непонятно, пишите, отвечу
Вас заинтересует