• Предмет: Математика
  • Автор: Аноним
  • Вопрос задан 3 года назад

разбила на части...​

Приложения:

Ответы

Ответ дал: pushpull
2

Ответ:

Пошаговое объяснение:

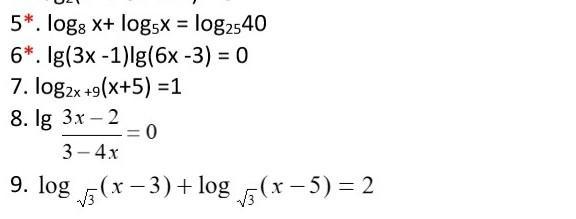
7. по определению логарифма

\displaystyle log_ab=c \qquad \Rightarrow a^c =b

3x+9 = x+5  ⇒ 2x = -4 ⇒ x = -2

x+5 > 0     x > -5

x= -2 вполне подходит

8.

\displaystyle lg\frac{3x-2}{3-4x} =0

lg (3x-2) - lg(3-4x) = 0

lg (3x-2) = lg(3-4x)

(3x-2) = (3-4x)

7x = 5

x = 7/5

ОДЗ (3x-2) ≠ 0 ⇒ x≠ 2/3

3-4x ≠0 ⇒  x ≠ 3/4

\displaystyle\frac{3x-2}{3-4x} >0 \qquad \Rightarrow \frac{2}{3} < x < \frac{3}{4}

x = 7/5 ∉ (2/3; 3/4)


Аноним: Здравствуйте вы не могли бы вы мне помочь с геометрией пожалуйста умоляюююю
Аноним: спасибо!
pushpull: здесь https://znanija.com/task/42568018 я написала, как решать. там расписывать нечего.
Аноним: а зачем это ОДЗ вообще нужно. откуда x+5》0, x》-5?
Аноним: помогите срочно
Вас заинтересует