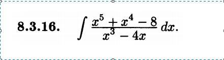
помогите с задачей, в развернутом виде пожалуйстааа)
Приложения:

sobolev99:
У Вас есть приложение фотоматч? Оно решает подобные примеры(и не только)
Ответы
Ответ дал:
1
Есть приложение на телефоны называется Photomath, эта программка как калькулятор который показывает пошаговые решения даже объясняет почему и как он сделал это действие! Вашу задачку он уже решил, но мне лень строчить все эти тонны текста! Скачайте программу и киньте туда свой пример. Лёгкое списывание вам обеспечено ;)
Вас заинтересует
2 года назад
2 года назад
2 года назад
2 года назад
8 лет назад
9 лет назад