• Предмет: Математика
  • Автор: imdongiovannypewgkr
  • Вопрос задан 3 года назад

Вычаслите площадь фигуры , ограниченной графикой функции:

y =  {x}^{2}
y = 2x -  {x}^{2}
ось 0x​

Ответы

Ответ дал: kirichekov
1

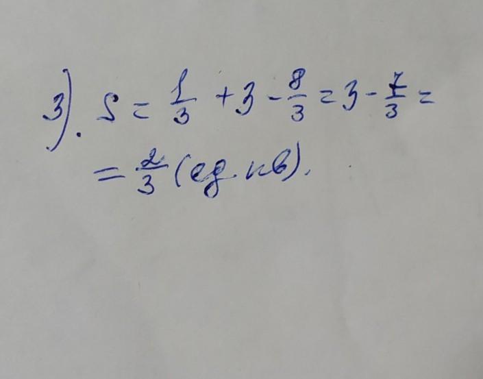
Ответ:

S=2/3(ед.кв)

Пошаговое объяснение:

решение во вложении

Приложения:
Вас заинтересует