• Предмет: Математика
  • Автор: bikoj31967
  • Вопрос задан 3 года назад

35 БАЛЛОВПОЖАЛУЙСТА ПОМОГИТЕ РЕШИТЬ В РАЗВЕРНУТОМ ВИДЕ. БЕЗ ФОТОМАЗА.

Приложения:

Ответы

Ответ дал: Miroslava227
3

Ответ:

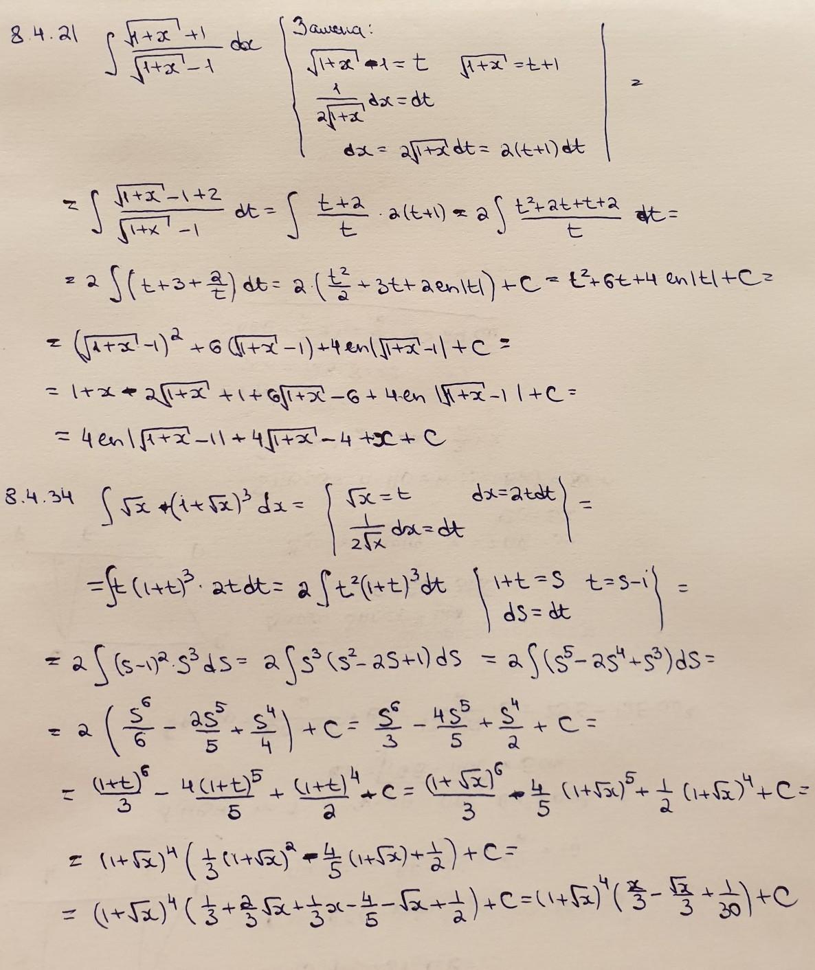
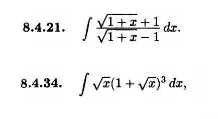
решение на фотографии.

Приложения:
Вас заинтересует