• Предмет: Математика
  • Автор: Аноним
  • Вопрос задан 3 года назад

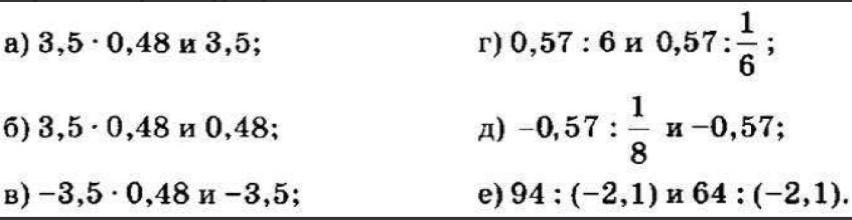
помогите пожалуйста сравите что больше что меньше​

Приложения:

Аноним: сори

Ответы

Ответ дал: romanmendl
2

Пошаговое объяснение:

а) Сначала умножаем левую сторону. 3,5*0,48=1,68, расписывать не буду, суть одна-сравнить. Теперь сравниваем.

1,68=1,68;

б) 3,5*0,48 и 0,48, считать даже не надо. Произведение двух чисел, в котором один из множителей равен сравниемому (с учетом того, что первый множитель больше единицы) будет больше, чем число, которое сравнивается с данным произведением. Это не правило, просто объяснение.

3,5*0,48 > 0,48

в) -3,5*0,48 и -3,5; Т.к. в произведении в левой части неравенства второй множитель меньше единицы, то результат будет больше. Я имею в виду сравнение двух модулей двух чисел. -1,68>-3,5; так потому, что были отрицательные числа.

-3,5*0,48 > -3,5

г) Считать тоже не нужно, смотрим: в левой части делитель=6, а в правой=1/6. В первом случае мы делим аж на 6, а во втором всего лишь 1/6, значит Правая  часть больше.

д) -0,57:1/8 и -0,57;  можно и без расчетов. В первом варианте получается число меньшее, т.к. тут деление на дробь обыкновенную, т.е. это типа нахождения числа по его сати, число тоже получится бОльшим, но тут отрицательные числа, значит наоборот, меньшим.

-0,57:1/8 < -0,57;

е) 94:(-2,1)<64:(-2,1), так потому что мы делим в левой части уменьшаемое больше, чем в правой стороне, значит левая часть больше, но т.к. в вычитаемом отрицательное число, то и в частном выходит отрицательное число. Выходит наоборот, что правая сторона больше, можно сравнить модулями. Чем больше модуль отрицательного числа, тем меньше само число.

94:(-2,1)<64:(-2,1)

Вас заинтересует