• Предмет: Алгебра
  • Автор: parilik
  • Вопрос задан 11 лет назад

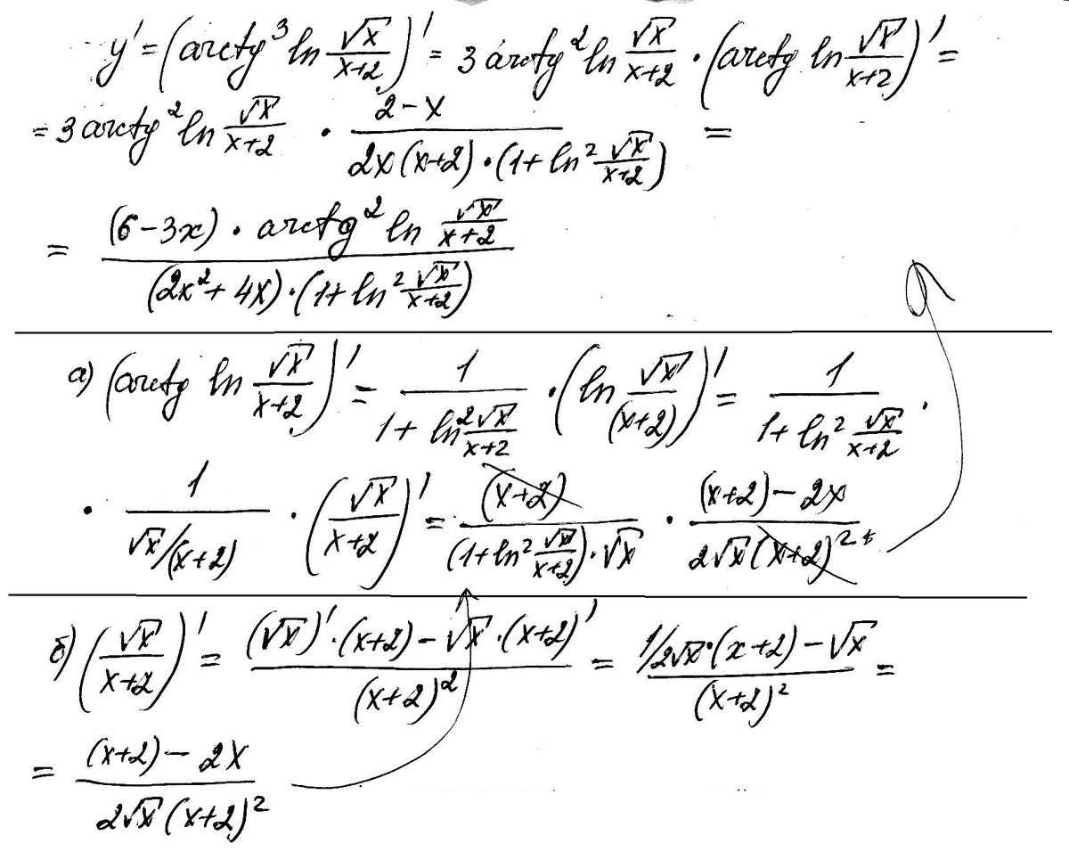
найти производную функции:
y=arctg^3lnfrac{sqrt(x)}{x+2}

Ответы

Ответ дал: Vladislav006
0
решение смотри ниже  =+=
Приложения:
Вас заинтересует