• Предмет: Математика
  • Автор: ЮжныйПарк
  • Вопрос задан 3 года назад

Помогите с решением 2 задания!!! Только расписывайте, а не сразу ответ пожалуйста

Приложения:

Ответы

Ответ дал: Miroslava227
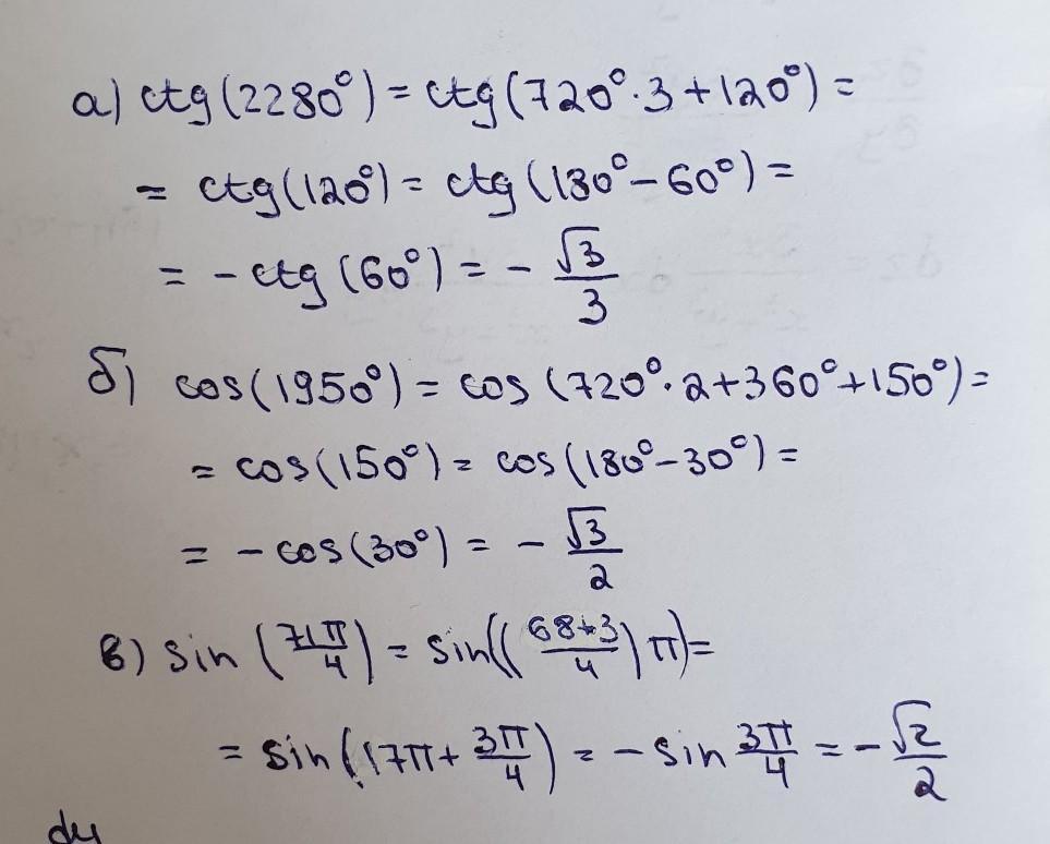
1

Ответ:

решение на фотографиях

Приложения:
Вас заинтересует