• Предмет: Алгебра
  • Автор: pipkapip
  • Вопрос задан 3 года назад

Реши Уравнения дам 30 баллов

Приложения:

Ответы

Ответ дал: serovaksusa1
2

Ответ:

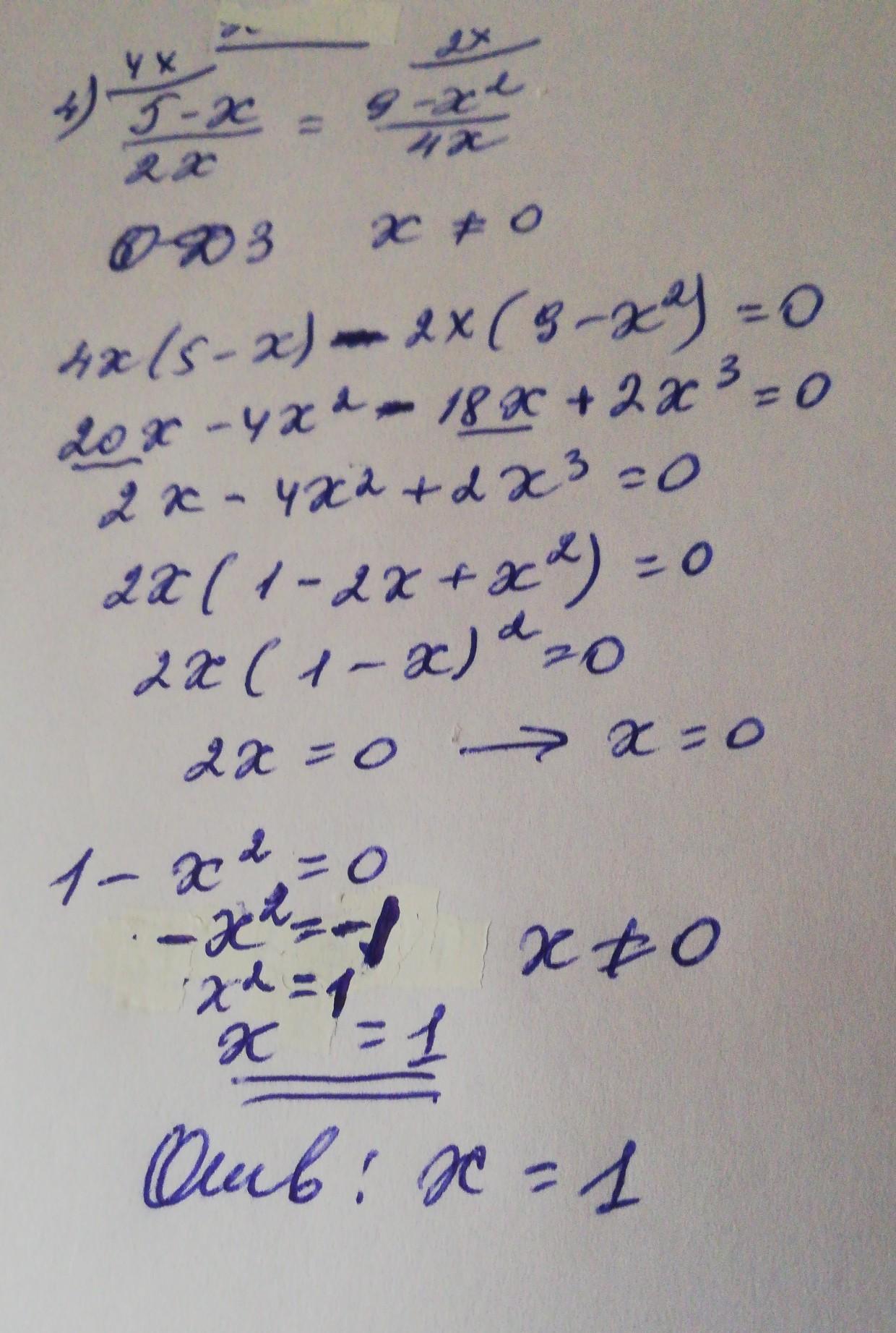
Смотри решение на фото

Приложения:

serovaksusa1: давай исправляйте теперь, если помощь нужна, помогу, если это в моих силах, это какой вообще класс?
pipkapip: Ненадо помогать просто скинь решение. 8класс
pipkapip: Пожалуйста
serovaksusa1: решение каких номеров, последних?
pipkapip: Да
serovaksusa1: сейчас все еа чистовик перепишу и скину
serovaksusa1: у меня 9 класс
serovaksusa1: Все скинула решение, смотри
pipkapip: Спасибо огромное
serovaksusa1: Давай парашку исправляй:)))))
Вас заинтересует