• Предмет: Математика
  • Автор: hovorang
  • Вопрос задан 11 лет назад

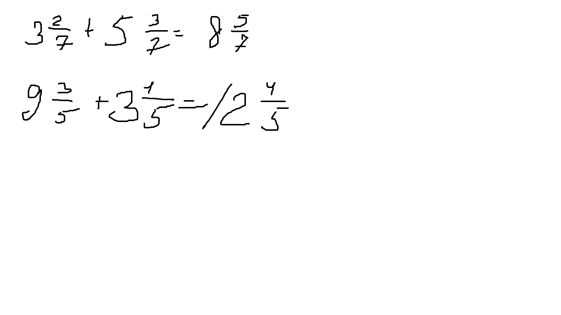
3 целых две седьмых + 5 целых три седьмых.         9 целых три пятых + три целых одна пятая..            

Ответы

Ответ дал: Ekaterina1819
0
получится вот так :)
Приложения:
Ответ дал: hovorang
0
щас ещё закину
Ответ дал: hovorang
0
поможеш?
Ответ дал: Artem112
0
3  cfrac{2}{7} + 5  cfrac{3}{7}=8 cfrac{5}{7} 
\
9  cfrac{3}{5} +3  cfrac{1}{5}=12 cfrac{4}{5} =12,8
Приложения:
Вас заинтересует