• Предмет: Алгебра
  • Автор: ramina2000
  • Вопрос задан 10 лет назад

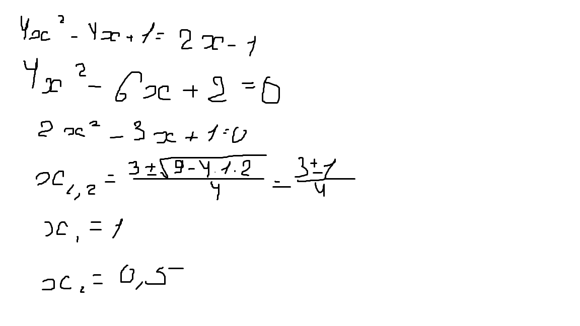
Помогите с уравнениями пожалуйста,у меня времени мало !(2x-1)^2=2x-1
(xy3)^2=4(xy3)

Ответы

Ответ дал: Ekaterina1819
0
получится вот так. как со 2 дальше, я не знаю, тут наверное просто упростить
Приложения:
Вас заинтересует