Ответы
Ответ дал:
1
Ответ:
а)
Ответ дал:
1
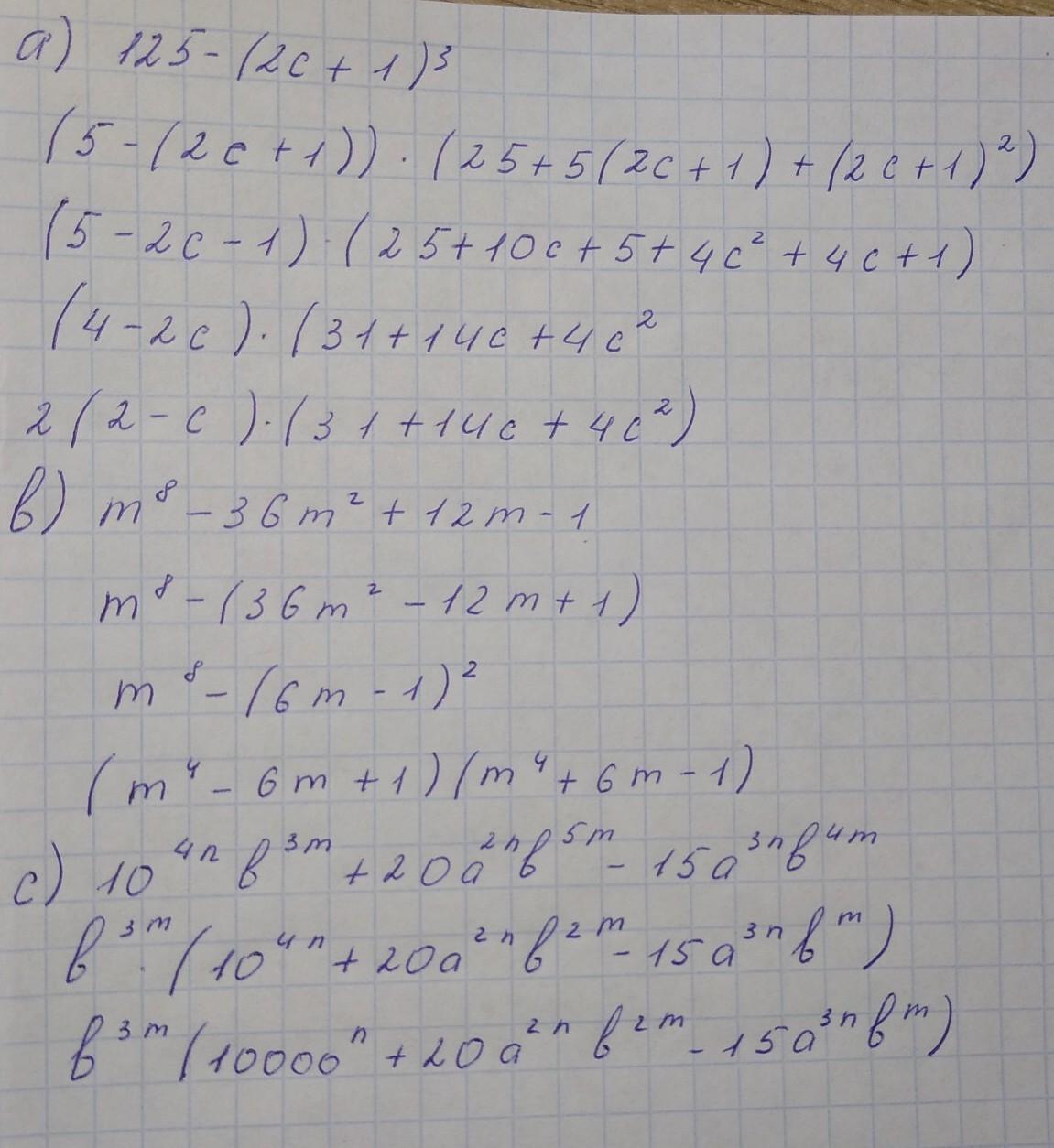
Ответ на Фотографии..........
Приложения:

Вас заинтересует
2 года назад
2 года назад
2 года назад
8 лет назад
8 лет назад
9 лет назад
9 лет назад