• Предмет: Алгебра
  • Автор: mk8616194
  • Вопрос задан 3 года назад

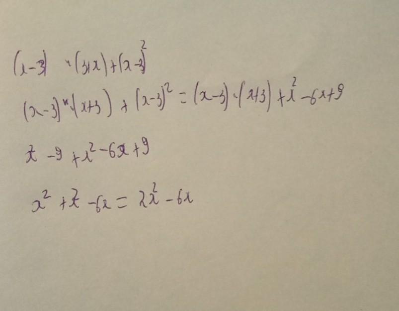
(х-3)(3+х)+(х-3)^2 упростить

Ответы

Ответ дал: TheDeformaZz
4

Ответ:

2x² - 6x

Объяснение:

=============================

(х - 3)(3 + х) + (х - 3)² = (x - 3)(x + 3) + (x - 3)² = x² - 9 + (x² - 6x + 9) = x² - 9 + x² - 6x + 9 = 2x² - 6x

=============================

ФСУ, которые были применены:

(a + b)(a - b) = a² - b²

(a - b)² = a² - 2ab + b²

Ответ дал: olyakungurtzeva
2

Ответ:

в закрепе

Объяснение:

Приложения:

bekzagabit: фри
bekzagabit: фа
olyakungurtzeva: ер
bekzagabit: да
bekzagabit: у меня есть фри
bekzagabit: лик нажму
bekzagabit: у тебя 101 лаик ов тепер
olyakungurtzeva: ок
olyakungurtzeva: пока
bekzagabit: пока
Вас заинтересует