• Предмет: Алгебра
  • Автор: antonkostin111
  • Вопрос задан 3 года назад

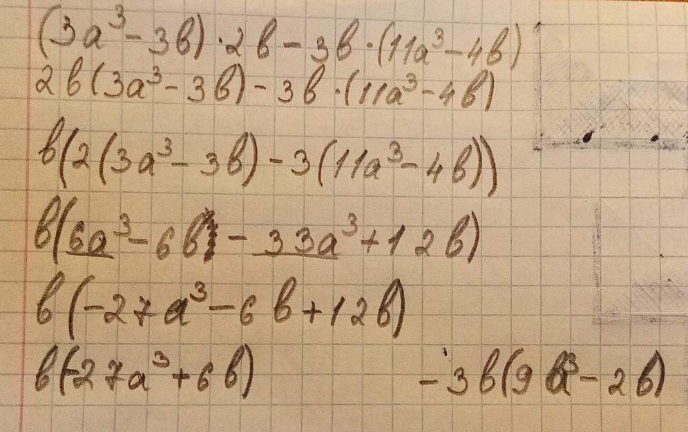
Упрости выражение (3a^3−3b)⋅2b−3b⋅(11a^3−4b)

Ответы

Ответ дал: milohinaulia396
0

Ответ:

Вроде так, если что-то не понятно, спрашивай

Приложения:
Вас заинтересует