• Предмет: Математика
  • Автор: SEREGA1244
  • Вопрос задан 3 года назад

найти производные данных функций

Приложения:

Ответы

Ответ дал: pushpull
1

Ответ:

Пошаговое объяснение:

a)

\displaystyle y' = \bigg (x^2+x*arcsin(x)+\sqrt{1-x^2}  \bigg )' =

\displaystyle =2x +(x'arcsinx+x(arcsinx)')+\frac{2x}{2\sqrt{1-x^2} } =

\displaystyle = 2x +arcsinx +\frac{x}{\sqrt{1+x^2} } +\frac{x}{\sqrt{1-x^2} }

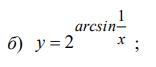
б)

\displaystyle y' = \bigg ( 2   ^{ \displaystyle arcsin(1/x)} \bigg )'= 2   ^{ \displaystyle arcsin(1/x)}*ln(2)*\bigg (arcsin(1/x)\bigg )'*\bigg (\frac{1}{x} \bigg )'=

\displaystyle =2^{ \displaystyle arcsin(1/x)} ln(2)* \bigg (-\frac{1}{\sqrt{1-(1/x)^2} } \bigg )*\frac{1}{x^2} =-\frac{ 2^{ \displaystyle arcsin(1/x)} ln(2) }{x^2\sqrt{1-(1/x)^2} }

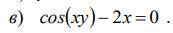
в)

\displaystyle \frac{\delta y}{\delta x} = - \frac{F'_x}{F'_y}

\displaystyle F'_x = -y*sin(xy)-2; \qquad F'_y = -x*sin(xy)

\displaystyle \frac{\delta y}{\delta x} =-\frac{y*sin(xy)-2}{x*sin(xy)}


SEREGA1244: а почему под буквой в) не косинус, а синус?
pushpull: потому, что это уже производная от cos
SEREGA1244: а формула в варианте в) бу/бх=-Fx/Fy что обозначает?
pushpull: частные производные по х и по у
Вас заинтересует