• Предмет: Математика
  • Автор: ksuxa7171
  • Вопрос задан 3 года назад

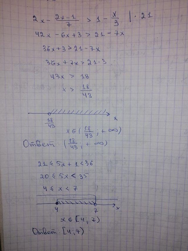
помогите пожалуйста решить ​

Приложения:

Ответы

Ответ дал: sssoolnyshko14
1

Пошаговое объяснение:

Приложения:
Вас заинтересует