Ответы
Ответ дал:
0
Ответ:
Пошаговое объяснение:
Приложения:

Ответ дал:
0
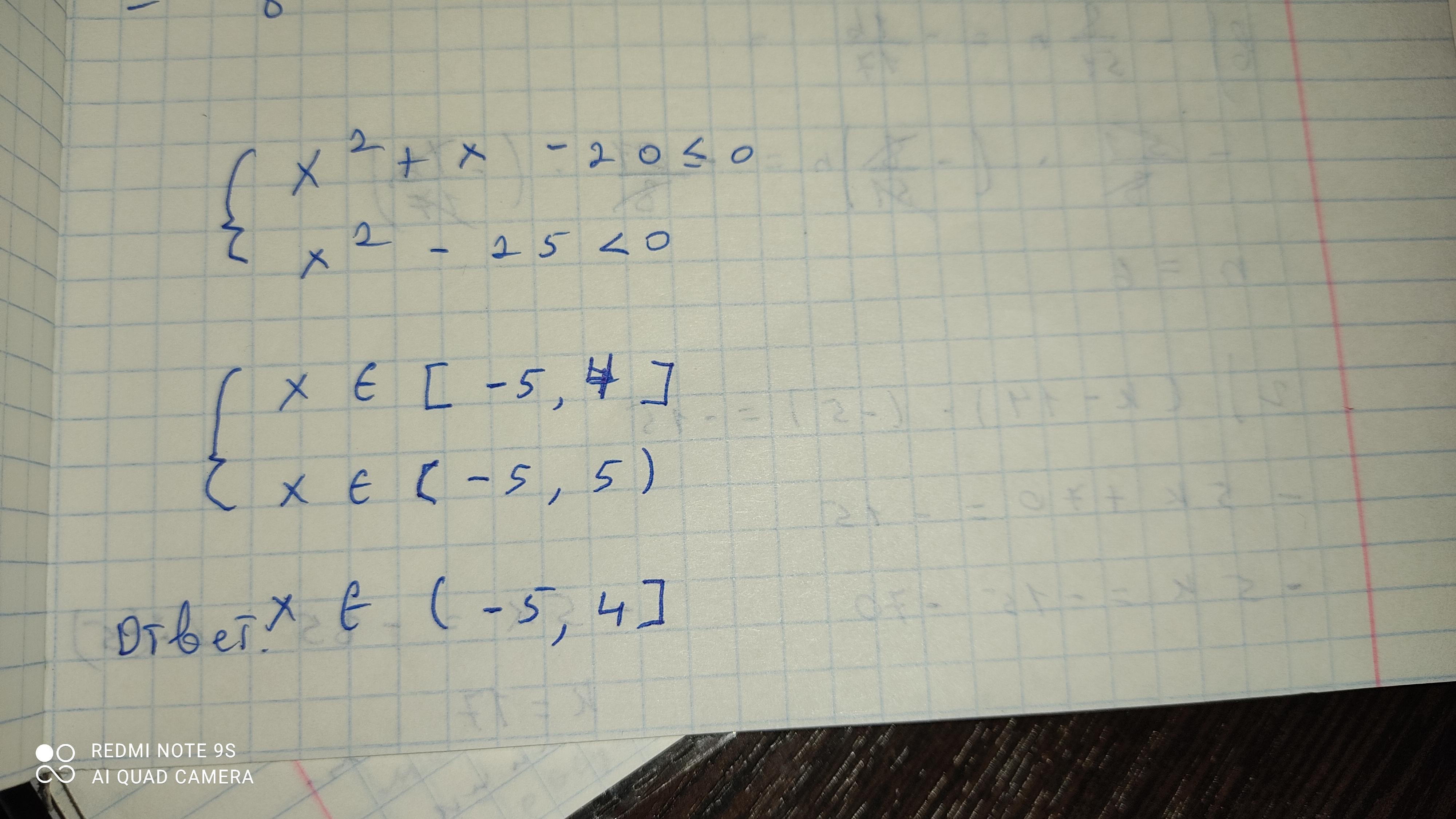
{ х² + х - 20 ≤ 0
{ х² - 25 < 0
Рассмотрим первое неравенство и найдём его корни:
х² + х - 20 = 0
D = 1² - 4•(-20) = 1 + 80 = 81
√D = √81 = 9
x1 = (-1 + 9)/2 = 8/2 = 4
x2 = (-1 - 9)/2 = -10/2 = -5
Перепишем первое неравенство и разложим преобразуем второе неравенство.
(х - 4)(х + 5) ≤ 0
{ (х - 4)(х + 5) ≤ 0
{ (х + 5)(х - 5) < 0
Интервалы
х ≤ 4; х ≥ -5
х ≥ 4; х ≤ -5
И
х < 5; х > -5
х >5; х < -5
Пересечение интервалов
//////////-5 ______4///5////////////
и
______-5///////////4///5_______
х ∈ (-∞; -5], [4; ∞) и [-5; 5)
Вас заинтересует
2 года назад
2 года назад
2 года назад
8 лет назад
8 лет назад
9 лет назад