• Предмет: Алгебра
  • Автор: larabugibaeva
  • Вопрос задан 3 года назад

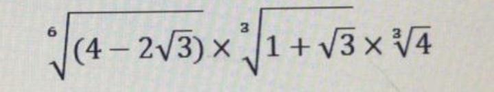
помогите пожалуйста

Приложения:

Ответы

Ответ дал: solovevfedor245
1

Отметьте пожалуйста лучшим решением и поставьте сердечко

Приложения:

larabugibaeva: спасибо большое!!
solovevfedor245: Рад вам помочь
Вас заинтересует