• Предмет: Математика
  • Автор: rayonabdumalikova21
  • Вопрос задан 3 года назад

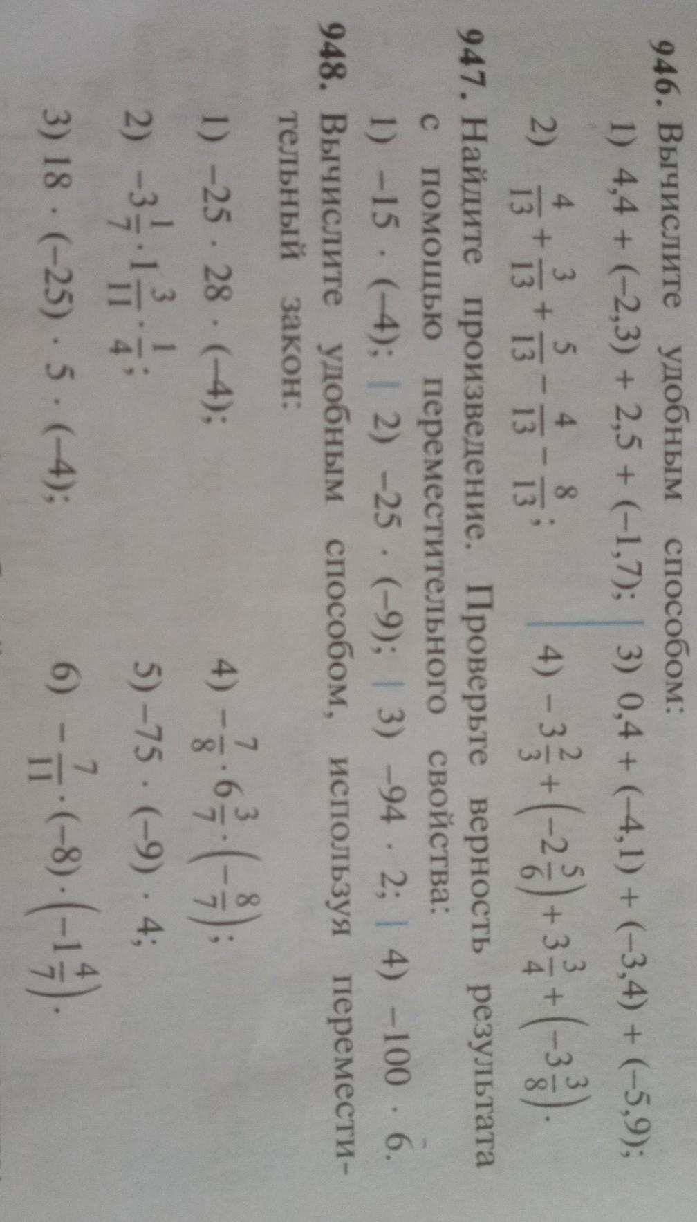
номер 946 вычислите удобным способом 947,948​

Приложения:

Ответы

Ответ дал: Санечка69
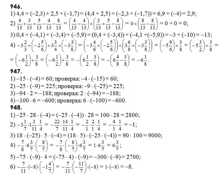
73

См. решение на рисунке.

Приложения:
Вас заинтересует