• Предмет: Математика
  • Автор: tshumilova200793
  • Вопрос задан 3 года назад

ПОМОГИТЕ СРОЧНО ПОЖАЛУЙСТА

Приложения:

Ответы

Ответ дал: kenzegulzuparbaeva
1

Ответ:

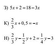
1)5х+2=18-3х. 2)2/3х+0,5=-х.

5х+3х=18-2. 2/3х+х=0,5

8х=16. 2/3х+х=1/2

х=16:8. 4х+6х=3

х=2. 10х=3

х=3/10

х=0,3

3)2/3у-1/2у+2=1/4у

умножем обе части уравнения на 12тогда будет =>8у-6у+24=3у

8у-6у-3у=24

-у=-24

у=24

Пошаговое объяснение:

2/3х даём 2 тогда будет ,4х

,х-даем 6,будет 6х

1/2 даём 3 ,будет 3

Вас заинтересует