• Предмет: Алгебра
  • Автор: someone131313
  • Вопрос задан 3 года назад

ВСЁ решите пожалуйста!! Дам 10 баллов!!!!

Приложения:

Ответы

Ответ дал: neowilo21
1

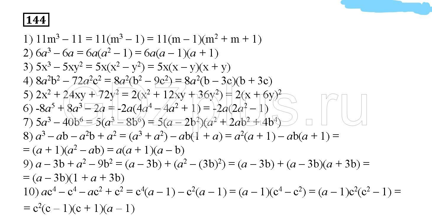
144

1) 11m3 - 11 = 11(m3 - 1) = 11(m - 1)(m2 + m + 1)

2) 6а3 - 6а = 6а(а2 - 1) = 6а(а - 1)(а + 1)

3) 5x3 - 5xy2 = 5x(x2 - y2) = 5x(x - y)(x + y)

4) 8a?b? - 72a2c2 = 8a?(b2 - 9c2) = 8a2(b - 3c)(b + 3c)

5) 2x2 + 24xy + 72y? = 2(x? + 12xy + 36y?) = 2(x + 6y)?

6) -8a5 + 8a3 - 2a = -2a(4a4 - 4a2 + 1) = -2a(2a? - 1)

7) 5a3 - 40b6 = 5(a3 - 8b%) = 5ta 2b4)(a2+2ab2 +4b4)

8) a3 - ab - a2b + a2 = (a3 + a2) - ab(1 + a) = a?(a + 1) - ab(a 1)=

(a + 1)(a2 - ab) = a(a + 1)(a - b)

9) a - 3b + a? - 9b? = (a - 3b) + (a2 - (3b)2) = (a 3b) + (a - 3b)(a + 3b) =

= (a - 3b)(1 + a + 3b)

10) ac4 - c4 - ac2 + c2 = c4(a - 1) - c?(a - 1) = (a - 1)(c4-c2) = (a - 1)c2(c2 - 1) =

= c?(c - 1)(c + 1)(a - 1)

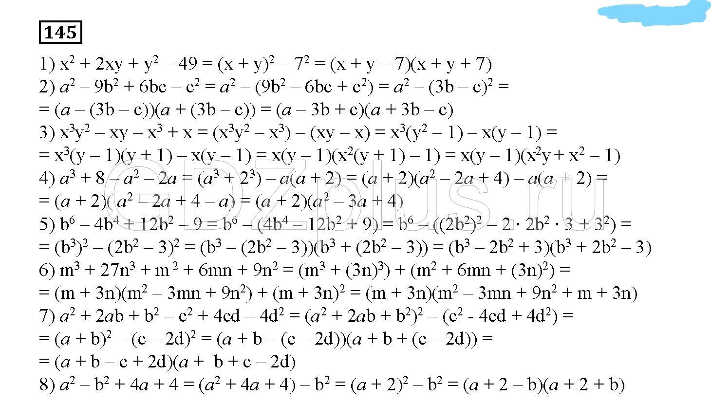
[145]

1) x2 + 2xy + y2 - 49 = (x + y)2 - 72 = (x + y - 7)(x + y + 7)

2) a2 - 9b2 + 6bc - c2 = a2 - (9b2 - 6bc + c2) = a? - (3b - c)2 =

= (a - (3b - c))(a + (3b - c)) = (a - 3b + c)(a + 3b - c)

3) x3y2 - - x3 + x = (x3y2 - x3) - (xy - x) = x3(y2 - 1) - x(y - 1)

= x?(y - 1)(y + 1) - x(y - 1) = x(y - 1)(x2(y + 1) - 1) x(y - 1)(x2y+ x2 - 1)

4) a3 + 8 - a2 - 2a = (a3 + 23) - a(a + 2) = (a + 2)(a? - 2a + 4) - a(a + 2) =

= (a + 2)(a2 + 4 - a) = (a + 2)(a2 - + 4)

5) b6 - 4b1 + 12b2 - 9 = b° (4b4 12b2 + 9) = b6 (2b2)2 21- 2b2 . 3 + 32) =

= (b3)2 - (2b2 - 3)2 = (b3 - (2b2 - 3))(b3 + (2b2 - 3)) = (b3 - 2b2 + 3)(b3 + 2b2 - 3)

6) m3 + 27n3 + m2 + 6mn + 9n2 = (m3 + (3n)3) + (m2 + 6mn + (3n)2) =

= (m + 3n)(m2 - 3mn + 9n2) + (m + 3n)2 = (m + 3n)(m2 - 3mn + 9n2 + m + 3n)

7) a2 + 2ab + b2 - c2 + 4cd - 4d2 = (a2 + 2ab + b2)2 - (c2 - 4cd + 4d2) =

= (a + b)2 - (c - 2d)2 = (a + b - (c - 2d))(a + b + (c - 2d)) =

= (a + - c + 2d)(a + b + c - 2d)

8) a2 - b2 + 4a + 4 = (a2 + 4a + 4) - b2 = (a + 2)2 - b2 = (a + 2 - b)(a + 2 + b)

Приложения:
Вас заинтересует