• Предмет: Алгебра
  • Автор: makarevich2583273
  • Вопрос задан 3 года назад

помагите пожалуйста ​

Приложения:

Ответы

Ответ дал: anna171770
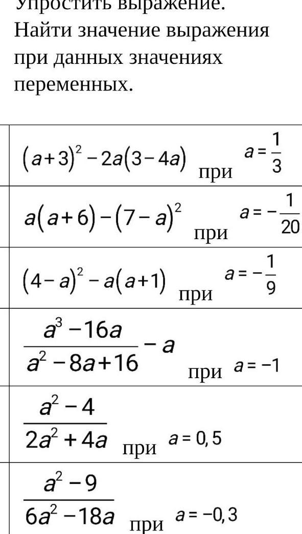
1

Ответ:

Объяснение:

1. a²+6a + 9 -6a + 8a² = 9a² + 9 = 9*(1/3)² + 9 = 9*1/9 + 9 = 1 + 9 = 10

2. a(a+6) - (7-a)² = a² + 6a - 49 + 14a - a² = 20a - 49 = -20/20 - 49 = -50

3. (4-a)² - a(a+1) = 16 - 8a + a² - a² - a = 16 - 9a = 16 + 9/9 = 17

4. (a³-16a)/(a² -8a + 16) -a = a(a² - 16)/(a-4)² - a = a(a-4)(a+4)/(a-4)² - a = a(a+4)/(a-4) - a = (a(a+4) - a(a-4))/(a-4) = a(a+4 -a+4)/(a-4) = 8a/(a-4) = -1*8/(-1-4) = -8/(-5) = 1.6

5. (a²-4)/(2a²+4a) = (a-2)(a+2)/2a(a+2) = (a-2)/2a = (0.5-2)/2*0.5 = -1.5

6. (a²-9)/(6a²-18a) = (a-3)(a+3)/6a(a-3) = (a+3)/6a = (-0.3+3)/(-0.3*6) = -1.5

Вас заинтересует