• Предмет: Алгебра
  • Автор: aminajoldoshbekova
  • Вопрос задан 3 года назад

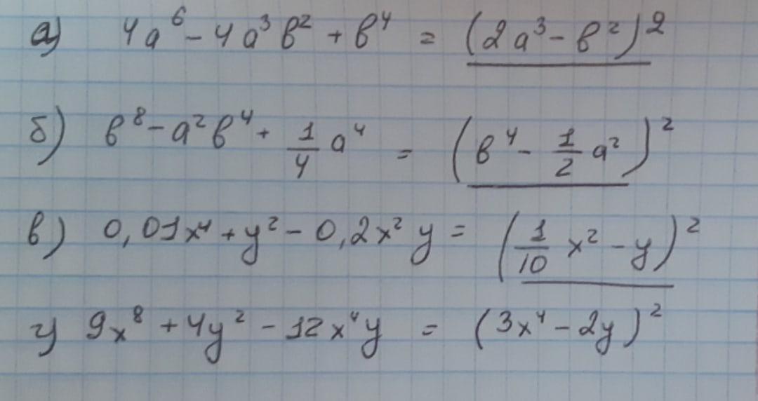
СРОЧНО ПОМОГИТЕ!!! ДАМ 60 БАЛОВ!представьте в виде квадрата двучлена выражение: а)4a⁶-4a³b²+b⁴; б)b⁸-a²b⁴+¼a⁴; в)0,01x⁴+y²-0,2x²y; г)9x⁸+4y²-12x⁴y.​

Ответы

Ответ дал: WildPepper
3

Ответ:

а)

б)

в)

г)

Объяснение:

Приложения:

aminajoldoshbekova: спасибо большое)
Ответ дал: ivankorobejnikov21
0

Ответ:

..........................................................

Приложения:
Вас заинтересует