• Предмет: Математика
  • Автор: 2eu5
  • Вопрос задан 3 года назад

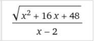
Найдите область определения данной функции

Приложения:

Ответы

Ответ дал: manyny06
1

Ответ:

решение смотри на фотографии

Пошаговое объяснение:

Приложения:
Вас заинтересует