• Предмет: Математика
  • Автор: 1320958374578038
  • Вопрос задан 3 года назад

прошу помогите!!!!!!!!!!!!

Приложения:

1320958374578038: выполнить нужно до 16.25

Ответы

Ответ дал: ddontsmileatme
1

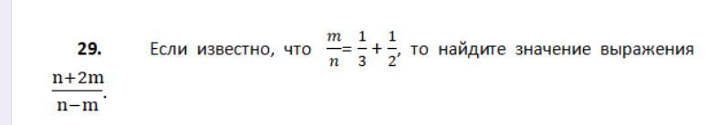
 \frac{1}{3}  +  \frac{1}{2}  = \frac{5}{6}

m=5 n=6

 \frac{6 + 2 \times 5}{6 - 5}  =  \frac{16}{1}  = 16


1320958374578038: спасибо!
Вас заинтересует