• Предмет: Алгебра
  • Автор: Страх0
  • Вопрос задан 3 года назад

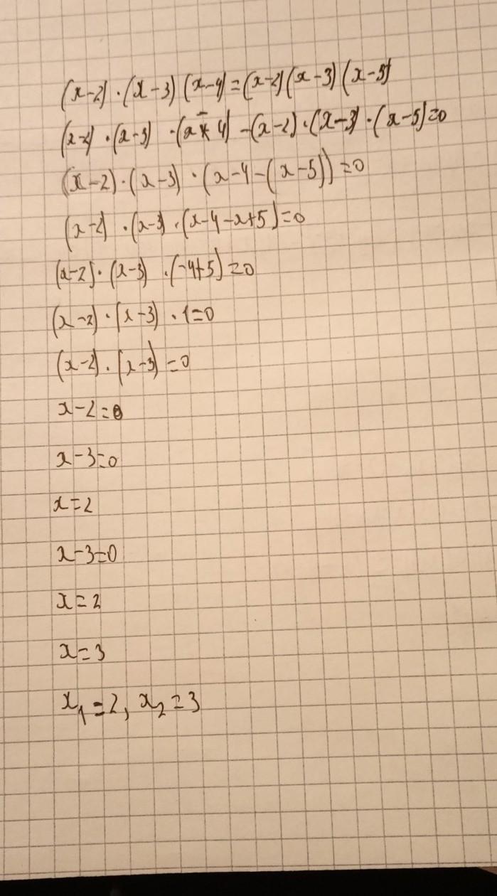
Решите уравнение: (х - 2)(х - 3)(х - 4) = (х - 2)(х - 3)(х - 5)
Обьясните каждый шаг, пожалуйста


olyakungurtzeva: 5 мин

Ответы

Ответ дал: olyakungurtzeva
1

Ответ:

пойдет?

Объяснение:

если да то можно лучшмй ответ

Приложения:

Страх0: я написал, что х=4, х=5, потому что вынес общие множители х-3 и х-2 и раскрыл их скобки, там получилось -1=0 и это не подлежит решению, хз
Страх0: а нет, все у тебя верно, спасибо
olyakungurtzeva: ок
Вас заинтересует