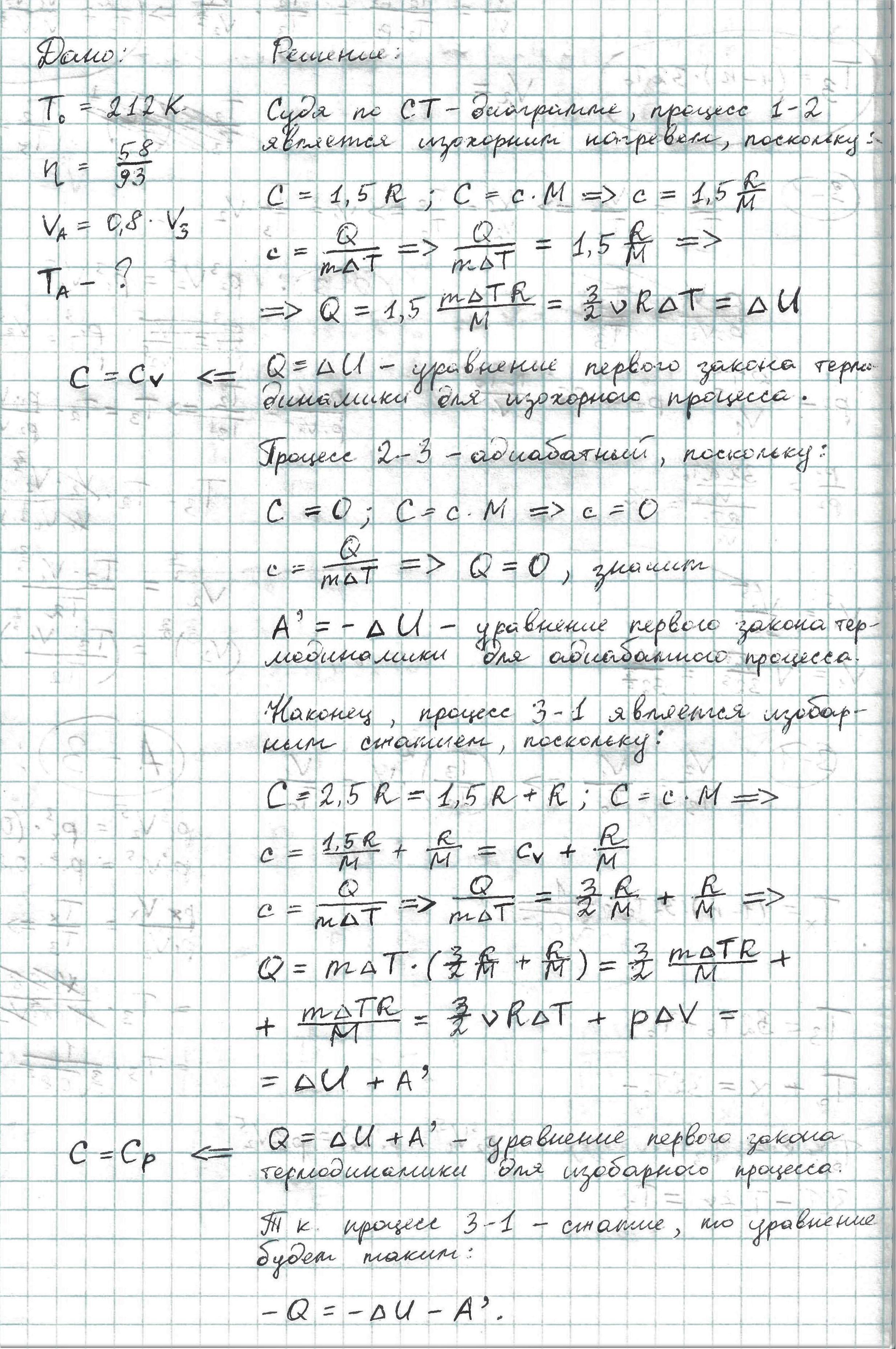
Задание по физике, интересует логика и ход решения. Пустой ответ не принимается. Данная задача направлена на выявление немного нестандартной логики решения, советую сначала решать на листке бумаги а потом уже и пытаться оформить
Приложения:

kirillionkin:
Ну что, ребята, у кого то возникли какие-то идеи?
Ответы
Ответ дал:
0
Решение вроде верное. Ожидается ваша критика.
Приложения:



Вас заинтересует
2 года назад
2 года назад
2 года назад
2 года назад
8 лет назад
8 лет назад