• Предмет: Алгебра
  • Автор: taiisaaa
  • Вопрос задан 3 года назад

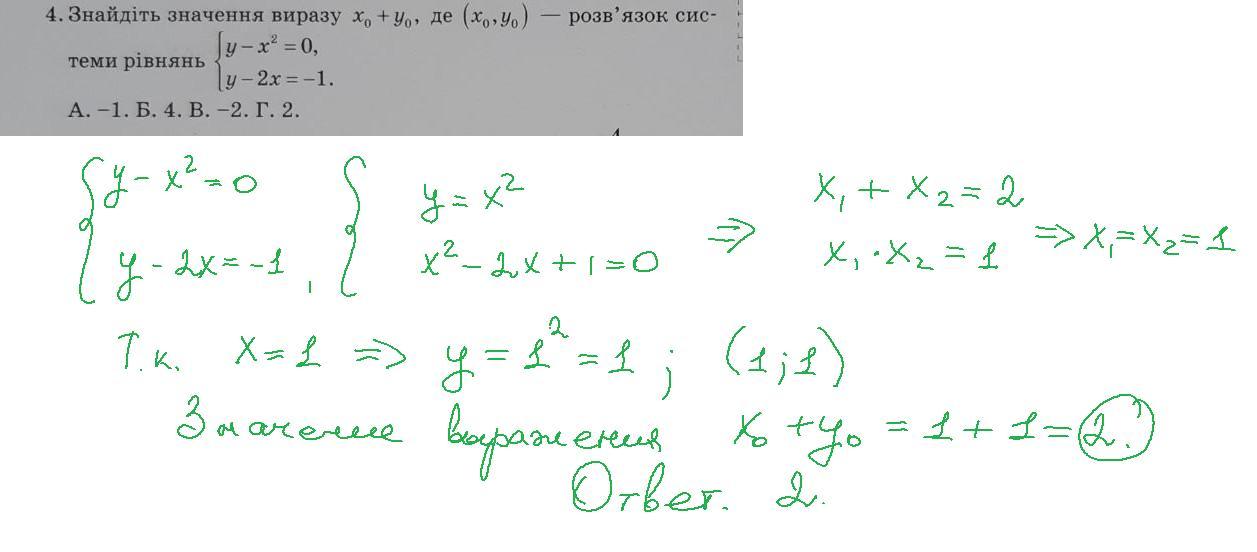
Алгебра 9 клас.Помогите пожалуйста​

Приложения:

Ответы

Ответ дал: ds15092020
1

Ответ:

Объяснение:

ответ на листе

Приложения:
Вас заинтересует