• Предмет: Математика
  • Автор: comfyuser5399
  • Вопрос задан 3 года назад

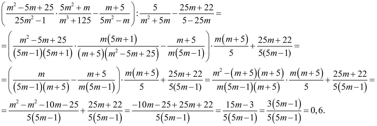
поможіть спростити вираз ​

Приложения:

Ответы

Ответ дал: andrukhnikita
1

Ответ:

Пошаговое объяснение:

Приложения:

comfyuser5399: дуже дякую!!
Вас заинтересует