• Предмет: Алгебра
  • Автор: Аноним
  • Вопрос задан 3 года назад

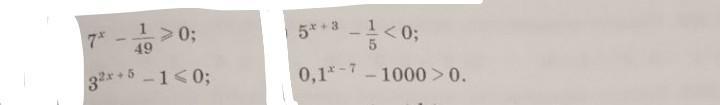
решите показательные неравенства (с объяснением, пожалуйста!)​

Приложения:

Ответы

Ответ дал: nikajv
0
1) [-2;+ ∞)
2)(-∞;-2,5]
3)(-∞;-4)
4)(-∞;-4)

Аноним: а решение?
Вас заинтересует