• Предмет: Физика
  • Автор: physicsonelove16
  • Вопрос задан 3 года назад

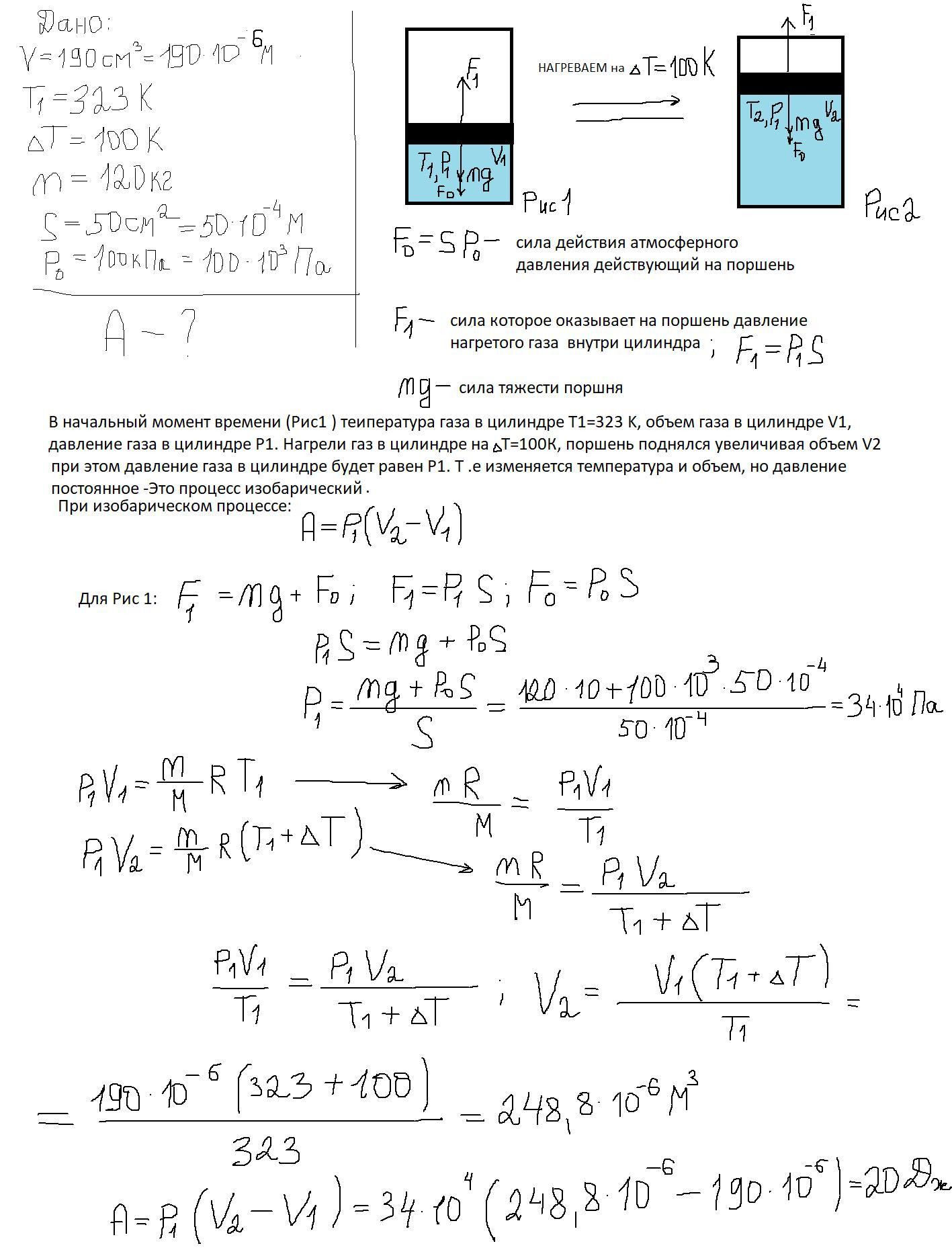
33.20. В цилиндре объемом 190 см^3 под легкопо-
движным поршнем находится газ при температуре
323 К. Найдите работу расширения газа при нагрева-
нии на 100 К. Масса поршня 120 кг, его площадь 50 см^2
Атмосферное давление 100 кПа.
Ответ:20 Дж

Ответы

Ответ дал: ssroman72
7

Ответ:

Решение задачи следующее:

Объяснение:

Приложения:

physicsonelove16: Спасибо большое!
Вас заинтересует