• Предмет: Алгебра
  • Автор: Котейка2210
  • Вопрос задан 3 года назад

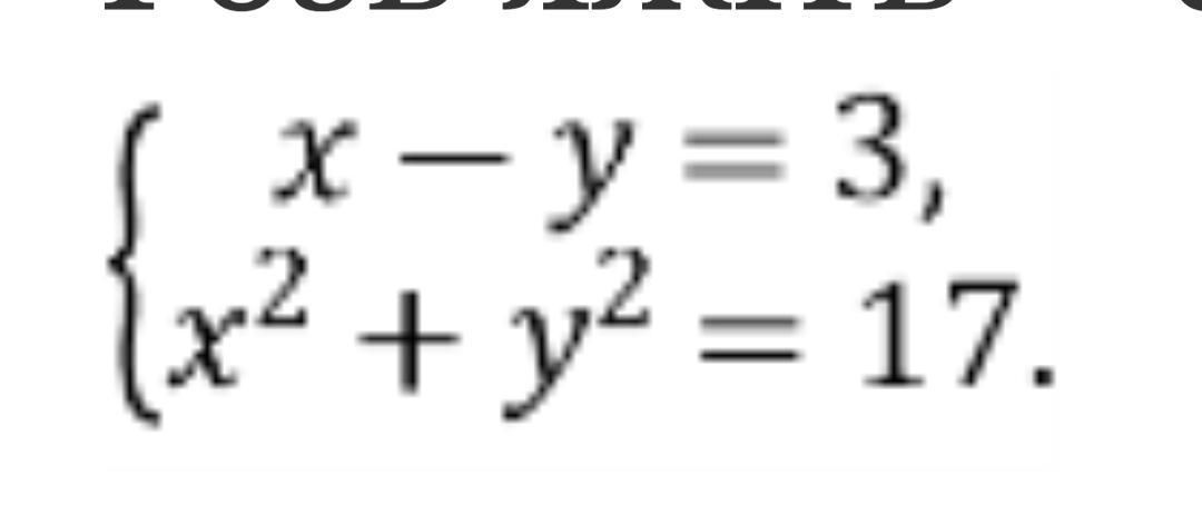
Розв'яжіть систему рівнянь

Приложения:

Ответы

Ответ дал: stalker0k
1

Ответ:

x=4, y=1

Объяснение:

Единственная пара подходящая в уравнение


Котейка2210: подстоновка?
stalker0k: да
Вас заинтересует