• Предмет: Химия
  • Автор: alazarevich987
  • Вопрос задан 3 года назад

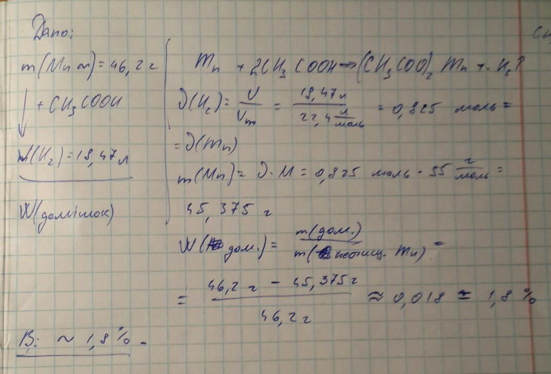
У результаті реакції 46,2 г мангана, що містить домішки, з достатньою кількістю етанової кислоти утворилося 18,47 л водню. Обчисліть масову частку домішок у металі.​

Ответы

Ответ дал: DuckSparce
4

Ответ: ~1.8% (все зависит от того, как округливать ответы)

Приложения:

alazarevich987: Помоги плиз))) Задача №1. Який об’єм водню утвориться (н. у.) під час взаємодії 40,5 г технічного фенолу, який містить 38 % домішок, з достатньою кількістю натрію?

Задача №2. У результаті реакції 46,2 г мангана, що містить домішки, з достатньою кількістю етанової кислоти утворилося 18,47 л водню. Обчисліть масову частку домішок у металі.

Задача №3. Яку масу натрію з масовою часткою домішок 35 % потрібно взяти, щоб під час його взаємодії з етанолом виділилося 9,47 л водню?
alazarevich987: сможешь помочь решить эти задачи?
Вас заинтересует