• Предмет: Алгебра
  • Автор: chelovek7181
  • Вопрос задан 3 года назад

Помогите пожалуйста!!!! Очень надо

Приложения:

Ответы

Ответ дал: manyny06
1

Ответ:

решение смотри на фотографии

Объяснение:

Приложения:

chelovek7181: Спасибо большое!!
Ответ дал: isom
1

Ответ:

Объяснение:

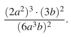
(2а²)³ * (3в)² / (6а³в)² = (8а⁶ * 9в²) / (36а⁶в²) = 72/36 = 2

Вас заинтересует