Ответы
Ответ дал:
1
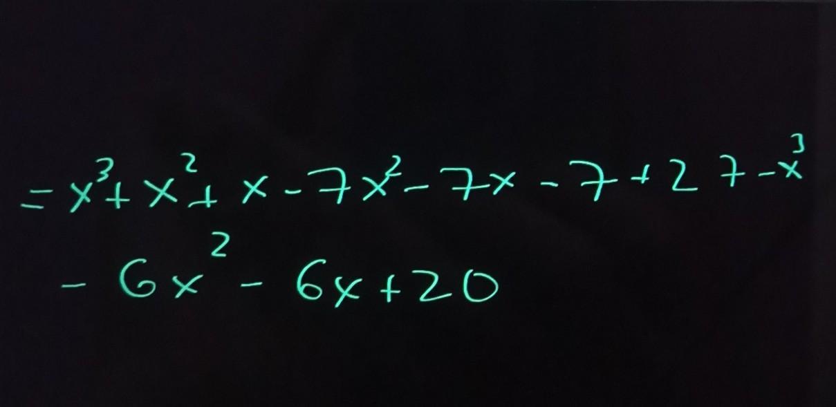
Ответ:
см. фото
Объяснение:
должно быть так
Приложения:

Вас заинтересует
2 года назад
2 года назад
2 года назад
8 лет назад
9 лет назад