• Предмет: Математика
  • Автор: mishigadr
  • Вопрос задан 3 года назад

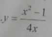
Нужно исследовать функцию

Приложения:

Ответы

Ответ дал: raboroshka221
0

Ответ:x1=-1,x2=1

Пошаговое объяснение:


raboroshka221: Вроде правильно)
Вас заинтересует