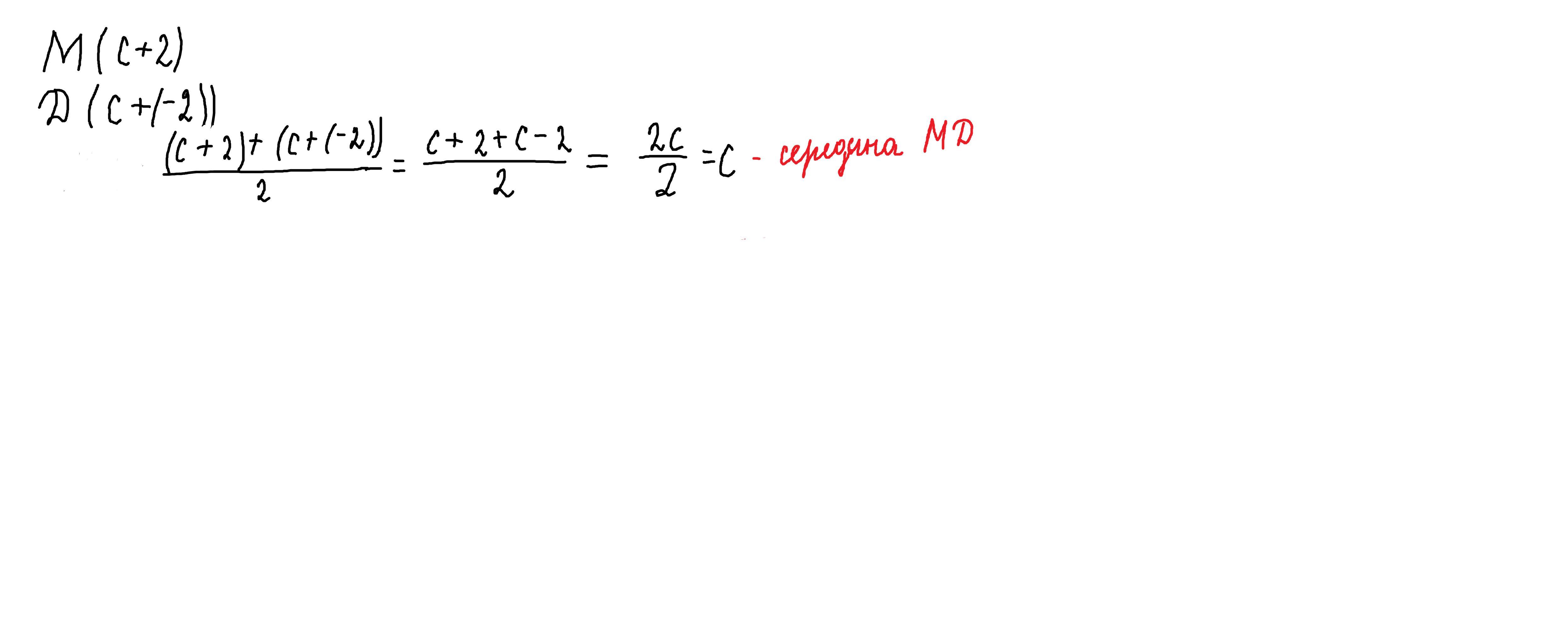
На координатной прямой точке M соответствует число c+2, а точке D — число c+(−2).
Какое число соответствует середине отрезка MD?
20 баллов!
Ответы
Ответ дал:
1
Ответ:
числу с
Решение:
чтобы найти координату середины отрезка необходимо найти среднее арифметическое координат его концов
(с-2+с+2)/2= 2с/2=с
Ответ дал:
1
Ответ:
середине отрезка MD соответствует число С.
Пошаговое объяснение:
решение внизу
Приложения:

Вас заинтересует
2 года назад
2 года назад
2 года назад
8 лет назад
9 лет назад