• Предмет: Математика
  • Автор: supthik5
  • Вопрос задан 3 года назад

Помогите пожалуйста с примерами

Приложения:

Ответы

Ответ дал: ovcharenko28
2

Представить в виде многочлена--значит преобразовать в сумму или разность данное выражение. В этих случаях пользуемся формулами квадрата суммы или квадрата разности в зависимости от случая

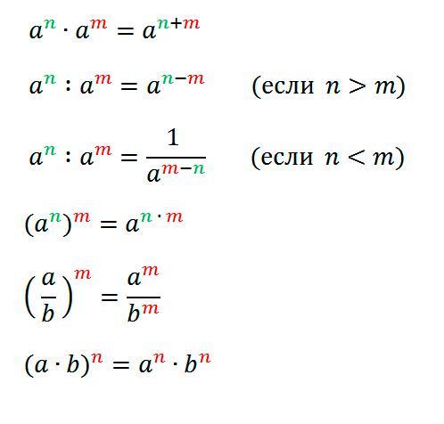
И еще полезные формулы на фото ( а именно первая, последняя и четвёртая)

1) (а+2)² = а²+2*2*а+2² = а²+4а+4

2) (6-х)² = 36-12х+х²

3) (3х-4)² = (3х)²-2*4*3х+4² = 9х²-24х+16

4) (5m+3n)² = 25m²+30mn+9n²

5) (0,1a+10b)²=0,01a²+2ab+100b²

6) напишу сразу ответ 36x²-4xy+1/9*y²

7) (n²+1)²=n⁴+2n²+1

8) (x⁴-x²)² = x⁸-2*x⁴*x²+x⁴ =  x⁸-2x⁶+x⁴

9) (y⁴+y³)² = y⁸+2y⁷+y⁶

10) (-3a+4b³)² = (4b³-3a)² =16b⁶-24ab³+9a²

Приложения:

supthik5: Спасибо за ответ
ovcharenko28: рада помочь)
Вас заинтересует