• Предмет: Алгебра
  • Автор: aporevic11
  • Вопрос задан 3 года назад

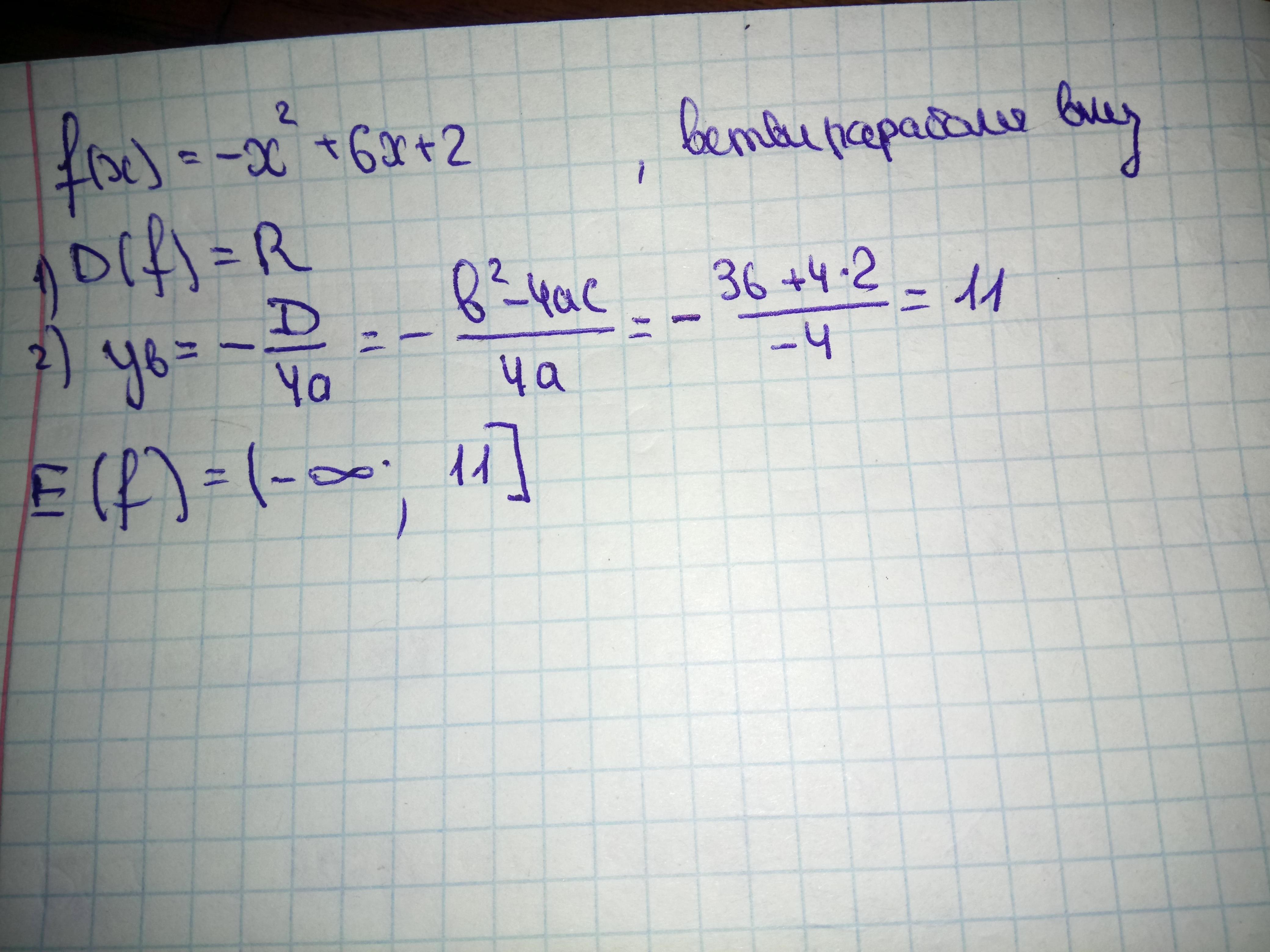
найдите область определения и множество значений квадратичной функции f(x)= -x^2+6x+2

Ответы

Ответ дал: Аноним
4

Решение задания прилагаю

Приложения:
Вас заинтересует