• Предмет: Алгебра
  • Автор: UnicornIra
  • Вопрос задан 3 года назад

Решите уравнение, пожалуйста

Приложения:

Ответы

Ответ дал: Rinz0
1

Ответ:

x=0

x=2

Объяснение:

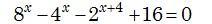
(2 {}^{3} ) {}^{x}  - (2 {}^{2} ) {}^{x}  - 2 {}^{x}  \times 2 {}^{ {}^{4} }   + 16 = 0

(2 {}^{x} ) {}^{3}  - (2 {}^{x} ) {}^{2}  - 2x \times 16 + 16 = 0

Используем подстановку t=2^x

t {}^{3}  - t {}^{2}  - t \times 16 + 16 = 0

t=1

t=-4

t=4

Обратную замену t=2^x

2^x=1

2^x=-4

2^x=4

x=0

x€R

x=2

x=0

x=2

Вас заинтересует