• Предмет: Алгебра
  • Автор: UnicornIra
  • Вопрос задан 3 года назад

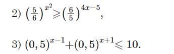
Решите уравнения, пожалуйста

Приложения:

Ответы

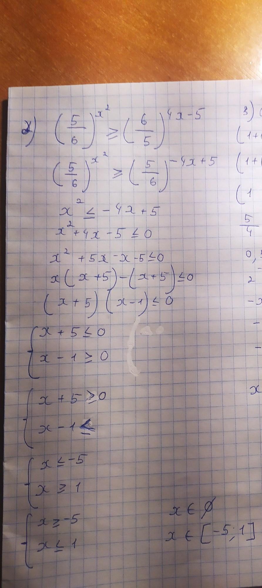
Ответ дал: klaptijdasha
0

Вот надеюсь все понятно

Приложения:
Вас заинтересует