• Предмет: Алгебра
  • Автор: UnicornIra
  • Вопрос задан 3 года назад

Решите неравенство, пожалуйста

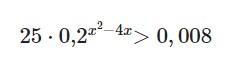
Приложения:

Ответы

Ответ дал: MizoriesKun
1

0.2 = 1/5=5⁻¹

0.008= 8/1000= 1/125 =1/5³=5⁻³

поэтому

25*0.2^(x²-4x)=0,008

5²*5^(4x-x²) > 5⁻³

5^(4x-x²+2) > 5⁻³

4x-x²+2>-3

x²-4x-5<0

D=16+20=36

x₁=(4+6)/2=5

x₂=(4-6)/2=-1

  +              -              +

_____ -1______5__________

x∈(-1;5)

Вас заинтересует