Ответы
Ответ дал:
6
Ответ:
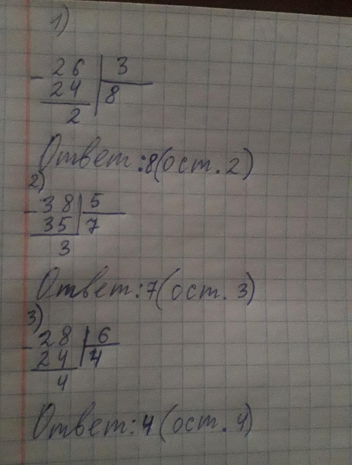
26:3=8 остаток:2
38:5=7 остаток:3
28:6=4 остаток:4
logunanaeb:
спасибо
Ответ дал:
11
Вот, держи ответы) я сама всё решила.
Приложения:

Вас заинтересует
2 года назад
2 года назад
2 года назад
8 лет назад
8 лет назад
9 лет назад