• Предмет: Математика
  • Автор: varakinakarina46
  • Вопрос задан 3 года назад

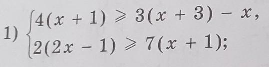
помогите плиз только можно с полным ответом и условием я не знаю дам 50баллов ​

Приложения:

Ответы

Ответ дал: yulia67i
1

Пошаговое объяснение:

4х+4》3х+9-х 4х-3х+х》9-4 0》5 0 не больше 5

4х-2》7х+7 4х-7х》7+2 -3》9 -3 не больше 9

нема розв'язків

Вас заинтересует